Rozpočty, databáze poskytnutých informací dle zákona č. 106/1999 Sb. o svob. přístupu k informacím

databáze poskytnutých informací dle zákona č. 106/1999Sb., o svob. přístupu k informacím

28.03.2023 pdf2023_01 Poskytnutí informace dle zákona k č. 106/1999 Sb. 

28.03.2023 pdf2023_01 Příloha k poskytnutí informace

29.03.2023 pdf2023_01 Poskytnutí informace dle zákona k č. 106/1999 Sb. - doplnění 



ROZPOČTY A JEJICH NÁVRHY,  

V této složce najdete dokumenty k rozpočtům organizace. 

 

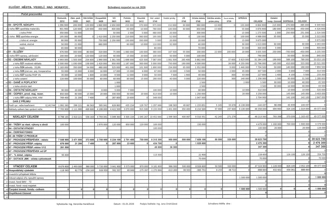
30.12.2025 pdfSchválený rozpočet na rok 2026


30.12.2025  pdfSchválený střednědobý výhled rozpočtu na rok 2027


30.12.2025 pdfSchválený střednědobý výhled rozpočtu na rok 2028


30.12.2025 pdfSchválený střednědobý výhled rozpočtu na rok 2029


28.11.2025 pdfNávrh střednědobého výhledu rozpočtu na rok 2029


28.11.2025pdfNávrh střednědobého výhledu rozpočtu na rok 2028


28.11.2025pdfNávrh střednědobého výhledu rozpočtu na rok 2027


28.11.2025pdfNávrh rozpočtu na rok 2026


 

19.12.2024 pdfSchválený rozpočet na rok 2025


19.12.2024 pdfSchválený střednědobý výhled rozpočtu na rok 2026


19.12.2024 pdfSchválený střednědobý výhled rozpočtu na rok 2027


19.12.2024 pdfSchválený střednědobý výhled rozpočtu na rok 2028


02.12.2024 pdfNávrh střednědobého výhledu rozpočtu na rok 2028


02.12.2024 pdfNávrh střednědobého výhledu rozpočtu na rok 2027


02.12.2024 pdfNávrh střednědobého výhledu rozpočtu na rok 2026


02.12.2024 pdfNávrh rozpočtu na rok 2025


22.12.2023 pdfSchválený rozpočet na rok 2024


22.12.2023 pdfSchválený střednědobý výhled rozpočtu na rok 2025


22.12.2023 pdfSchválený střednědobý výhled rozpočtu na rok 2026


22.12.2023 pdfSchválený střednědobý výhled rozpočtu na rok 2027


23.11.2023 pdfNávrh střednědobého výhledu rozpočtu na rok 2027


23.11.2023 pdfNávrh střednědobého výhledu rozpočtu na rok 2026


23.11.2023 pdfNávrh střednědobého výhledu rozpočtu na rok 2025


23.11.2023 pdfNávrh rozpočtu na rok 2024


28.12.2022 pdfSchválený střednědobý výhled rozpočtu na rok 2026


28.12.2022 pdfSchválený střednědobý výhled rozpočtu na rok 2025


28.12.2022 pdfSchválený střednědobý výhled rozpočtu na rok 2024


 27.12.2022pdfSchválený rozpočet 2023


28.11.2022pdfNávrh střednědobého výhledu rozpočtu na rok 2026


28.11.2022 pdfNávrh střednědobého výhledu rozpočtu na rok 2025


28.11.2022 pdfNávrh střednědobého výhledu rozpočtu na rok 2024


 28.11.2022 pdfNávrh rozpočtu na rok 2023


22.12.2021   pdfSchválený rozpočet 2022


22.12.2021   pdfSchválený střednědobý výhled rozpočtu na rok 2023


22.12.2021   pdf Schválený střednědobý výhled rozpočtu na rok 2024


22.12.2021   pdf Schválený střednědobý výhled rozpočtu na rok 2025


 29.11.2021   pdf Návrh střednědobého výhledu rozpočtu na rok 2025


29.11.2021   pdf Návrh střednědobého výhledu rozpočtu na rok 2024


 29.11.2021   pdf Návrh střednědobého výhledu rozpočtu na rok 2023


29.11.2021    pdfNávrh rozpočtu na rok 2022


15.01.2021   pdfSchválený rozpočet 2021


15.01.2021   pdfSchválený střednědobý výhled rozpočtu na rok 2022


15.01.2021   pdf Schválený střednědobý výhled rozpočtu na rok 2023


15.01.2021   pdf Schválený střednědobý výhled rozpočtu na rok 2024


7.12.2020    pdfNávrh rozpočtu na rok 2021


03.12.2020    pdf  Návrh střednědobých výhledů rozpočtů na roky 2022 - 2024


14.01.2020   pdf Schválený rozpočet 2020


14.01.2020   pdf Schválený střednědobý výhled rozpočtu na rok 2021


26.11.2019   pdf Návrh rozpočtu na rok 2020


 26.11.2019   pdf Návrh střednědobého výhledu rozpočtu na rok 2021


26.11.2019   pdf Návrh střednědobého výhledu rozpočtu na rok 2022


26.11.2019   pdf Návrh střednědobého výhledu rozpočtu na rok 2023